前の画像
次の画像
記事へ
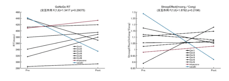
左=GO/NO-GO検査の結果、右=ストループ効果の検査の結果
モータースポーツにもDX化、KDDIが取り組む「クルマ×動画」のチャレンジ
2022年3月30日
スポーツの瞬間を見逃さない、「4DREPLAY」は5G時代の新たな観戦スタイルとなるか
2020年2月18日
KDDI、2030年度までにCO2排出量を実質ゼロに
2022年4月7日
ストレス軽減・達成感など高めるAI構築へ、KDDIなど3者
2022年7月25日
KDDI、2023年シーズンのSUPER GTで「ファンシート」などの応援サポート
2023年4月13日
SUPER GT場内限定で中継映像が視聴できるアプリ「Grooview Multi」
2023年5月2日
KDDI、「ラリージャパン2023」のオフィシャルパートナーに就任
2023年6月28日
競技車やコースをデジタルで再現、KDDIが「ラリージャパン2023」で新たな観戦体験
2023年10月6日
SUPER GT最終戦、36号車 au TOM'S GR Supraが優勝しシリーズチャンピオン――オークションや感謝祭を開催へ
2023年11月6日
あらゆる角度からクルマを見られる、KDDIが「ラリージャパン 2023」で提案する新たな観戦体験
2023年11月17日